TRIMETHYLSILYLACETYLENE
A Versatile Two Carbon Building Block
ABSTRACT
Trimethylsilylacetylene is a versatile two carbon building block of considerable utility. Unlike acetylene itself, which is a gas at room temperature and potentially dangerous, this mono protected synthon is an easily handled liquid. In many instances introduction of the ethynyl group is facilitated by the use of TMS-acetylene. It can be used in many types of synthetic procedures without the need for specialized equipment. This paper describes recent applications and the use of this product in various areas of synthetic organic chemistry.
The main objective of this article is to provide an overview of the growing synthetic interest in TMSA . The review is not intended to be exhaustive. Rather, we have sought to provide an overview that will be a useful starting point for those interested in exploring the use of this versatile intermediate. Most of this chemistry can be applied to other terminal acetylenes. However, the unique structural nature of TMSA makes it a very valuable tool in the arsenal of synthetic organic chemists working in the pharmaceutical and fine chemical industries.

Trimethlysilylacetylene is an extremely useful and "potentially nucleophilic" two carbon bifunctional equivalent synthon . It offers a significant advantage over acetylene gas, which is dangerous and difficult to use. TMSA is a stable liquid, it allows chemists to work with conditions that are mild and that do not require pressure or liquid ammonia conditions. Unlike its parent, acetylene gas, it can be introduced and subsequently manipulated in a multitude of synthetic transformations that are now well documented in the literature. Scale-up takes place easily and simply in a variety of synthetic processes, with predictable outcome that does not result in undesirable side reactions.
Methods
Trimethylsilylacetylene has found tremendous utility in the ethynylation of aromatic, heteroaromatics and olefinic compounds via the palladium catalyzed coupling with halides and triflates. It has become a significant method for the introduction of a terminal acetylene into organic molecules. Other synthetic uses of TMSA include alkylation via Grignard or alkali metal reagents, hydroboration and hydrosilation.
Palladium Catalyzed Trimethylsilylethynylations
Takahashi1 and Austin2 reported the synthesis of ortho and para substituted phenylacetylenes by this method. Lau3 disclosed the synthesis of meta substituted derivatives, and Volhardt et al.4 made hexaethynylbenzene from hexabromobenzene. In an interesting route to substituted indoles, Yamanaka et al5 used an o-bromophenylcarbamate ester to couple with TMSA en route to 2-substituted indoles . In 1986 Chen and Yang6 found the trifluoromethanesulfonate group to be a good leaving group in this reaction. Robbins and Barrre vide infra reported the synthesis of 5-ethynyluracil derivatives, potential anti-cancer and anti-viral agents. Hirota7 reported the use of the triflate leaving group in this class of compounds. More recently Suffert8 employed the same methodology in the synthesis of ene-diyne precursors.

Castedo et al.9 described a novel method for a macrocyclization process en route to isoquinoline alkaloids. Starting from amide (1) which was chemoselectively condensed with TMSA to give (2) in 90 % yield. Dropwise addition of tributyltin hydride in the presence of AIBN gave the vinylsilane in 60 % yield that was converted successfuly in a series of steps to macrocyclic lactam (3).

Diphenylketene on reaction with TMSA and other terminal alkynes in the presence of Pd(PPh3)4 gives dissubsituted alkynes in good yield10.
In the field of molecular electronics Suffert and Ziessel11 reacted TMSA in the presence of palladium catalyst with a series of mono- and dihalo- pyridines,bipyridines and other polyimine to give after desilylation the corresopnding ethynyl polyimines. the molecules have been shown to present high electrical conductivity when they are complexed with tetracyanoquinone and cationic copper.
Trimethylsilylacetylene finds utility in building polyethynyl aromatics that makes them attractive as thermoset precursors and another synthetic sequence, vide infra, utilizes trimethylsilyacetylene in the synthesis of thiophene based conjugated oligomers of interest in materials science.
Anti-tumor Agents - Ene-diynes
Ene-diynes are chemicals made by soil bacteria that mimic antibiotics. They have been shown to be powerful anti-cancer agents attacking tumor cells with high selectivity. Nicolaou12 described them as "Molecular warheads with triggering devices." More simply when they penetrate a cancer cell, the molecule is activated to produce a radical that will selectively kill the cancer cell by scission of its DNA.
The facile rearrangement by which these 3-ene-1,5-diynes are transformed into an arene-1,4-diradical(Bergman Rearrangement)13 has brought a new focus to this area of research. The discovery of an array of these natural toxins such as Neocarzinostatin, Calichemicin, Esperamicin, and Dynemicin has elicited considerable interest in the synthetic challenge presented by their rare structure and their ability to fight cancer cells. The key step in any synthetic route to the ene-diynes skeleton relies on placing the alkyne tethers around the olefinic section of the molecule. Properly designed stable synthetic analogs with triple bonds that can produce DNA strand scission are being sought in many laboratories around the world. In any syntheses, regardless of strategy, TMSA is playing an important role.

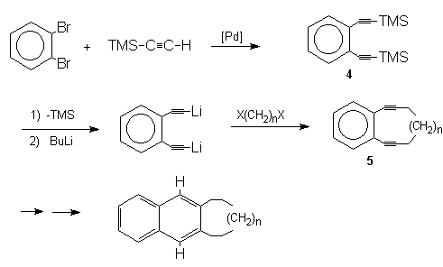
Semmelhack et al.14 reacted TMSA with o-dibromobenzene to give the 1,2-bis(trimethylsilylethynyl)benzene (4) by the method of Hagihara1 and Austin2. This was further subjected to desilylation in order to set the stage for connecting the two acetylene tethers via deprotonation with BuLi and subsequent alkylation with an a,w-dihalide to produce the cyclic ene-diyne (5) required for the tandem Bergman-Radical cyclization, which has become a significant tool due to its ability to bring about cyclization of substituted ene-diyne systems.

Sufferts group targeted synthetic analogs of neocarzinostatin8. Central to their methodology 8,15,16 is Palladium mediated stereo selective coupling of TMSA with the isomerically pure bis(enoltriflate) (6) derived from 2-formycyclopentanone. In this regard they discovered that the exocyclic triflate ethynylates at a much faster rate than the endocyclic counterpart8 enabling them to tailor the alkyne groupings that are suitable for their neocarzinostatin models.

An elegant enantioselective approach to the highly functionalized epoxy diyne analog of the neocarzinastin core was reported by Meyers et al.17 Again TMSA coupling is central in this synthetic scenario, where it was coupled with (Z)-ethyl 2,3-dibromopropenoate (7) under modified Cachi18 conditions to afford the required (Z)-enediyne (8) in 88% yield. Reduction of the ester group, followed by selective desilylation with sodium trimethoxyborohydride gave pure monosilylated enediyne (9). Catalytic Sharpless19 asymmetric epoxidation of (9) and subsequent in situ esterification with pivaloyl chloride produced the required enediyne (10) that set the stage for the condensation with the masked 2-formylcyclopentenone resulting, after several transformations, in the construction of the highly strained carbocyclic enediyne (11) with the unusual assembly of the required group substitution along its periphery

Magnus's group21,22 approach to dynemicin takes into consideration the quinoline sub unit of dynemicin (13) to anchor the ene-diyne portion of the molecule. They have made several important analogs that rely on h2 dicobalt hexacarbony complex to initiate the final ring closure. Thus the ene-diynyl Grignard (14), generated from (12) after desilylation, was reacted with the quinoline (13) to give the carboethoxy addition product (15). That was treated, after removal of the THP, with Co2(CO)8 to give the cyclic ene-diyne (16).

Nicolaou23, among the models that he chose as analogs to Dynemicin, made the one represented here from the ethynyl quinoline (17). Palladium assisted coupling with the vinyl chloride (18), followed by desilylation resulted in the formation of (19). Ring closure effected by treatment with LDA anchored the tether to the quinoline ring to give the targeted dynemicin analog (20).

By incorporating a benzene or a naphthalene ring into the olefin portion of (18), Nicolaou24 was able to make a series of dynemicin models in which he modified some sites around the quinoline core that allowed him to monitor and better understand the ene-diyne cascade.
Anti-tumor Agents -Taxol
The synthesis of Taxol has been a considerable synthetic challenge with its novel and rare ring system. A convergent intramolecular Diels-Alder approach to the highly functionalized tricyclo[9.3.1.03,8] pentadecene nucleus of the taxol skeleton was recently reported by Fallis and Lu25. Their strategy takes into consideration the importance of building the right tethers around the A ring of taxol, that ultimately allows for a successful Diels-Alder reaction and therefore permits the construction the Taxol nucleus. The diene-aldehyde (21) was reacted with lithium trimethylsilylacetylide to give the alcohol (22). Removal of the TMS group, followed by Des-Martin periodinate oxidation gave the required dienophile (23), which enabled the cyclization to produce the tricyclic ring system (24).

Anti-tumor, Anti-viral Agents - Nucleosides
Robins and Barr26 reported the synthesis of 5-ethynyl-3',5'-di-O-P-tolulyl-2'-deoxyuridine by removal of the TMS group that was introduced in the palladium catalyzed coupling of TMSA with the 5-Iodouridine. This acetylene group is readily subject to functional elaboration. Moreover, 5-ethynyl-2'-deoxyuridine has potent biological activity , its 5'-monophosphate is a powerful thymidylate synthetase inhibitor and it is a potential antiviral agent.

Tanaka et al.27 produced 6-ethynyl-2'-deoxyuridine by this reaction on the blocked starting material. More recently Gillies and Slocock 28 in used this process to produce other alkynyl antiviral agents.
Anti-Tumor Agents -Tetrahydorofolic acids
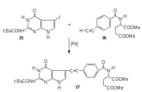
Taylor 29,30et al. demonstrated that in the area of anti-tumor tetrahydrofolic acid derivatives, TMSA serves a pivotal role as a masked ethylene group in bridging a gaunine and a glutamate via palladium assisted carbon-carbon coupling to produce key intermediates. Thus, 2-pivaloyl-6-bromo-5-deazapterin is coupled with (4-ethynylbenzoyl)glutamte to give 5,10-dideaza-5,6,7,8-tetrahydrofolic acid(DDATHF), after redution of the ethynyl group28. Another DDATHF analogue with promising clinical results as a thymidate synthase inhibitor was made using TMSA , thus subjecting 2-pivaloyl-7-iodo-deazaguanine (25) to a palladium catalyzed carbon-carbon coupling with dimethyl (4-ethynylbenzoyl)glutamate (26), gave the disubstituted acetylene(27). Selective hydrogenation of the triple bond was then smoothly accomplished to furnish the target DDATHF analog after sponification of the pivaloyl protecting group at N-2.

Other Palladium Catalyzed Trimethylsilylethynylations
Trimethylsilylacetylene plays an important role in new emerging technologies in the field of materials research .
Whitesides and Neenan31 described the preparation of highly cross-linked polyethynyl solids containing high atom frations of carbon. These are made by the condensation of TMSA with the corresponding poly haloaromatics. Other researchers also made polyethynyl aromatics that on thermolysis produce glassy materials that exhibit high char yield up to 90%. This makes them attractive as thermoset precursors.32,33 Note that some of these highly ethynylated compounds have been reported to decompose violently in the pure state.
Tour et al.34 have developed a synthetic sequence that utilizes trimethylsilyacetylene as a building block to allow the rapid formation of conjugated oligomers of known length and composition for use in nanofabrication technology.

Nye35 developed a polyimide that incorporates an acetylene spacer unit between the aromatic diimide through the usual palladium catalyzed trimethylsilylethynylation as shown in the scheme below. The acetylene spacer resulted in a rigid polymer with improved characteristics in terms of chemical resistance and thermal stability. This polymer has considerable interest in materials research.

Addition Reactions
Trimethylsilylacetylene like many other acetylenes are capable of adding many groups a cross the triple bond. These are very well documented in the literature. Unlike many hydroborating reagents, 9-BBN adds to TMSA in high regioselectivity to produce a powerful dienophile (28) with greater stability than vinyl-9-BBN36.

Yamaguchi et al.37 found that TMSA can undergo a facile regiospecific bromoallylation in the presence of dibromobis(benzonitrile)palladium to give the vinyl silane (29) in 94 % yield. This can easily serve as a 4-pentenoyl anion equivalent (30), a valuable synthetic tool. Trans-1,2-bis(trimethylsilyl)ethylene(31) is made by direct hydrosilylation of TMSA with chlorodimethylsilane in the presence of Speier's catalyst followed by addition of CH3MgI38

Alkylation
Lithium trimethylsilylacetylide is a powerful nucleophile that has been added to alkyl halide39, epoxides40,aldeydes41 and ketones42. Trimethylsilylethynyl magnesium halides add to propargyl tosylate43 to yield 1-trimethylsilyl-1,4-pentadiyne . Nicolaou et al.44 employed this principle effectively in their synthesis of 15(S)-HETE (34) that was shown to be an inhibitor of 5-lipoxygenase. The acetylide was sequentially reacted with two differernt alkylating agents. The first was intodroduced through the allylic iodide (32) , while the second subsitution was brought about via palladium catalyzed coupling with the vinyl bromide (33) following reduction of the internal alkyne and removal of the TMS group. Fianlly reduction of the ethynyl group provided the desired cis double bond.

Chiral Syntheses
Takano et al.45 prepared the novel epoxyacetylene , (R)-4,5-epoxy-1-trimethylsilyl-1-pentyne (35), from optially active epichlorohydrin and lithium trimethylsilylacetylide. This chiral epoxyacetylene provides a general starting point for a variety of efficient enantioselective syntheses. An example being (+)-goniothalamin (36).
Colobert and Gentet used TMSA in acylation reactions providing ketones that can be selectively reduced with an Alpine Borane to the optically active alcohol46.
Summary
TMSA is being used in many areas in the forefront of research. Pharmaceutical research is looking at anti-cancer and anti-viral agents as well as thedevelopment of new chiral synthetic methods. Materials science is using TMSA in the development of new polymers for various applications. . Petra Research, Inc. is a leader is specialty acetylenes and offers bulk quantities of Trimethylsilylacetylene.
~~~~~~~~~~~~~~~~~~~~~~~~~~~~~~~~~~~~~~~~~~~~~~~~~~~~~~~
References
1. Takahashi, S. et al., Synthesis, 627 (1980).
2. Austin, W. B. et al., J. Org. Chem., 46, 2280, (1981).
3. Lau, K. and Boschan, R., U.S. Patt. App. 197300, 15 Oct 1980.
4. Volhardt, K., et al., Angew. Chem., Int. Ed. Engl., 25 268. (1986)
5. Yamanaka, H., et al., Hetrocycles, 24, 31, (1986).
6. Chen, Q. and Yang, Z., Tetrahedron Lett., 27, 1171, (1986).
7. Hirota, K. et al., Hetrocycles, 26, 355, (1987).
8. Suffert, J. and Bruckner, R., Tetrahedron Lett.,32, 1453, 1991
9. Castedo, T. et al., Tetrahedron Lett., 33, 5653 (1992).
10. Mitsudo, T., Kadokura, M. and Watanabe,Y., Tetrahedron Lett 26, 3697 (1985)
11. Suffert, J. and Ziessel, R., Tetrahedron Lett., 32, 757 (1991)
12. Nicolaou, K.C. et al., Science, 256, 1172, (1992)
13. Jones, R. and Bergman, R.G., J. Am. Chem. Soc., 94, 660, (1972)
14. Semmelhack, F.M., Neu, T. and Foubelo, F., Tetrahedron Lett., 33, 3277, 1992
15. Brukner, R., Sceuplein, S.W. and Suffert, J.Tetrahedron Lett., 32, 1449, 1991
16. Scheupein, S.W., Harms, K., Bruckner and R., Suffert, J., Chem.Ber, 125, 271, 1992
17. Meyers, A.G., Harrington, P.M. and Kuo, E.Y., J. Am.Chem. Soc, 113, 694, 1991
18. S. Cachi, E.Morera, G. Ortar, Synthesis, 320, 1986
19. Sharpless, K.B. et al., J.Am.Chem.Soc.,109, 5765, 1987.
21. Magnus, P. and Frott, S.M., J.Chem.Soc., Chem.Comm., 544 (1991)
22. Magnus, P. et al., J. Am. Chem. Soc., 114, 2544 (1992)
23. Nicolaou, K.C. et al., J.Am.Chem.Soc., 112, 7416 (1990).
24. Nicolaou, K.C. et al., J.Am.Chem.Soc, 113, 9878 (1991).
25. Lu, Y.F. and Fallis, A..G. Tetrahedron Lett., 34, , (1993)
26. M.J. Robins , P.J. Barr, Tetrahedron Lett., 22, 421, 1981
27. Tanaka, Can J. Chem 64, 1560 (1986)
28. Gillies, I and Slocock, K.A., Eur. Pat. Appl., 465164, January 8, 1992
29. Taylor E.C. and Wong, G.S.W., J. Org. Chem., 54, 3618 (1989).
30. Taylor, D. et al., J.Med.Chem., 35, 4450 (1992).
31. Neenan , T.X. and Whitesides, G.M., J.Org. Chem., 53, 2489 (1988).
32. Stephens, E.B. and Tour, J.M., Adv. Mater., 4, 570 (1992).
33. Ibid, Macromolecules, in press.
34. Tour, J.M. and Schumm, J.S., Polymer Reprints, in press
35. Nye,S.A., J. PolymerChem. Part A., 28, 2633 (1990).
36. Singleton D.A. and Martinez, J.P. Tetrahedron Lett 32, 7365 (1991)
37. R.Yamaguchi, R. et al., Syn. Comm., 12, 1027 (1982)
38. Birkofer, L. and Keuhn, T. Chem. Ber. 111, 3119 (1978)
39. Castelano, A.L. and Krantz, A., J.Am.Chem.Soc, 109, 3491 (1987).
40. Magnus, P. and Becker, P., ibid, 109,7495 (1987).
41. a. Trost, B.M. and Matsuda, K., ibid., 110, 5233, (1988).
b. Fevig, T.L., Elliiot, R.L. and Curran, D.P., ibid, 110, 5064 (1988).
c. Linderman, R.J. and Suhr, Y., J. Org. Chem, 53, 1569 1988).
42. a. Liebeskind, L.S., Mitchell, D. and Foster, B.S. J.Am .Chem. Soc, 109, 7908( 1987).
b. E.J. Corey, et al., ibid, 109, 4717 (1987).
43. Verkruijsse, H.D. and Hasselaar M., Synthesis, 1979, 292
44. Nicolaou, K.C. et al., J.Chem. Soc., Chem. Commun. 1985, 1580.
45. Takano, S. et al., Tetrahedron: Asymmetry, 3, 853, 1992.
46. Colobert, F. and Gentet, J.P., Tetrahedron Lett 26 2779 (1985)